• Предмет: Математика
  • Автор: frog25
  • Вопрос задан 10 лет назад

срочно нужно помогите пожалуйста, за ранее спасибо

Приложения:

Ответы

Ответ дал: valenivan
0
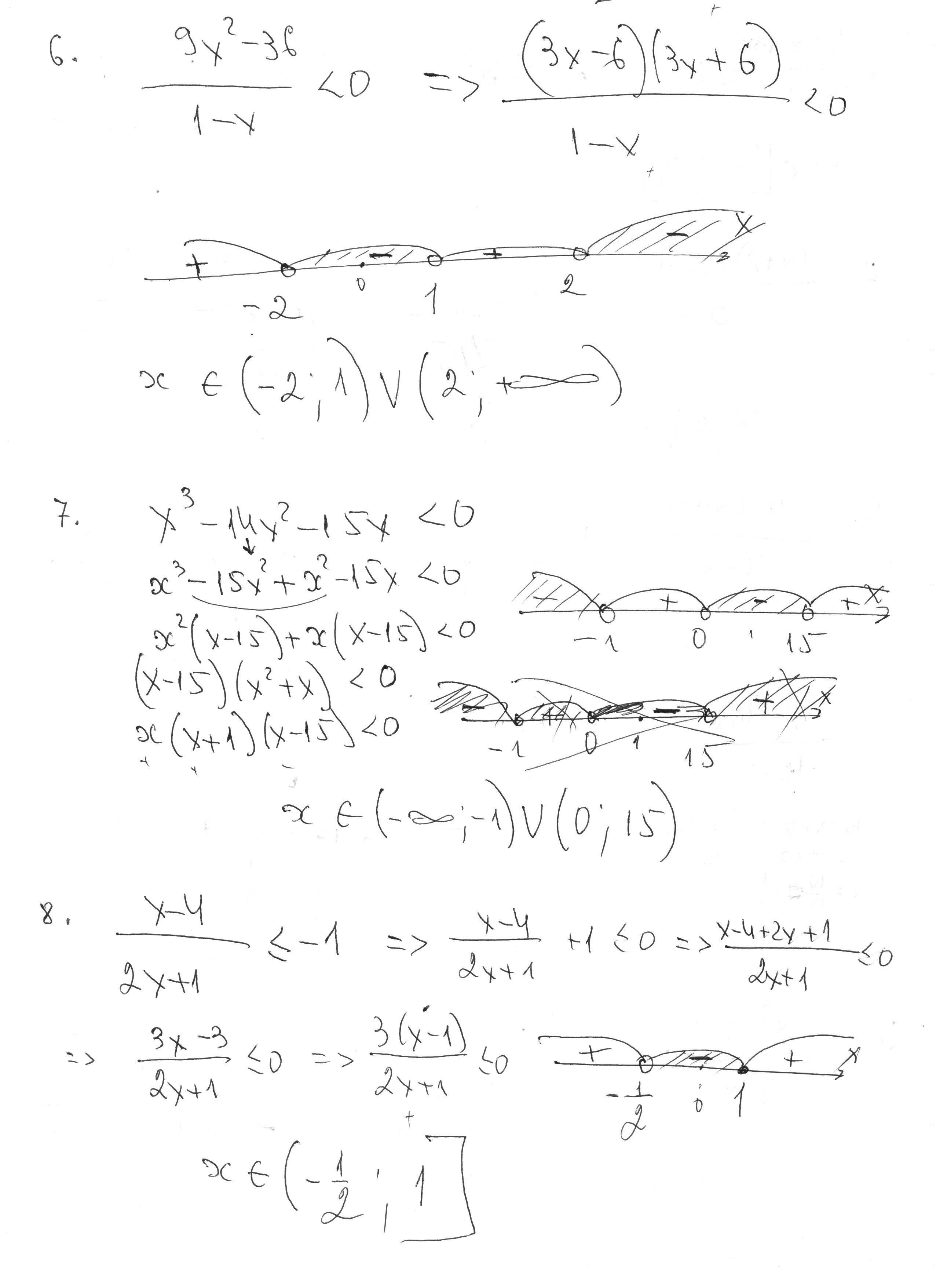
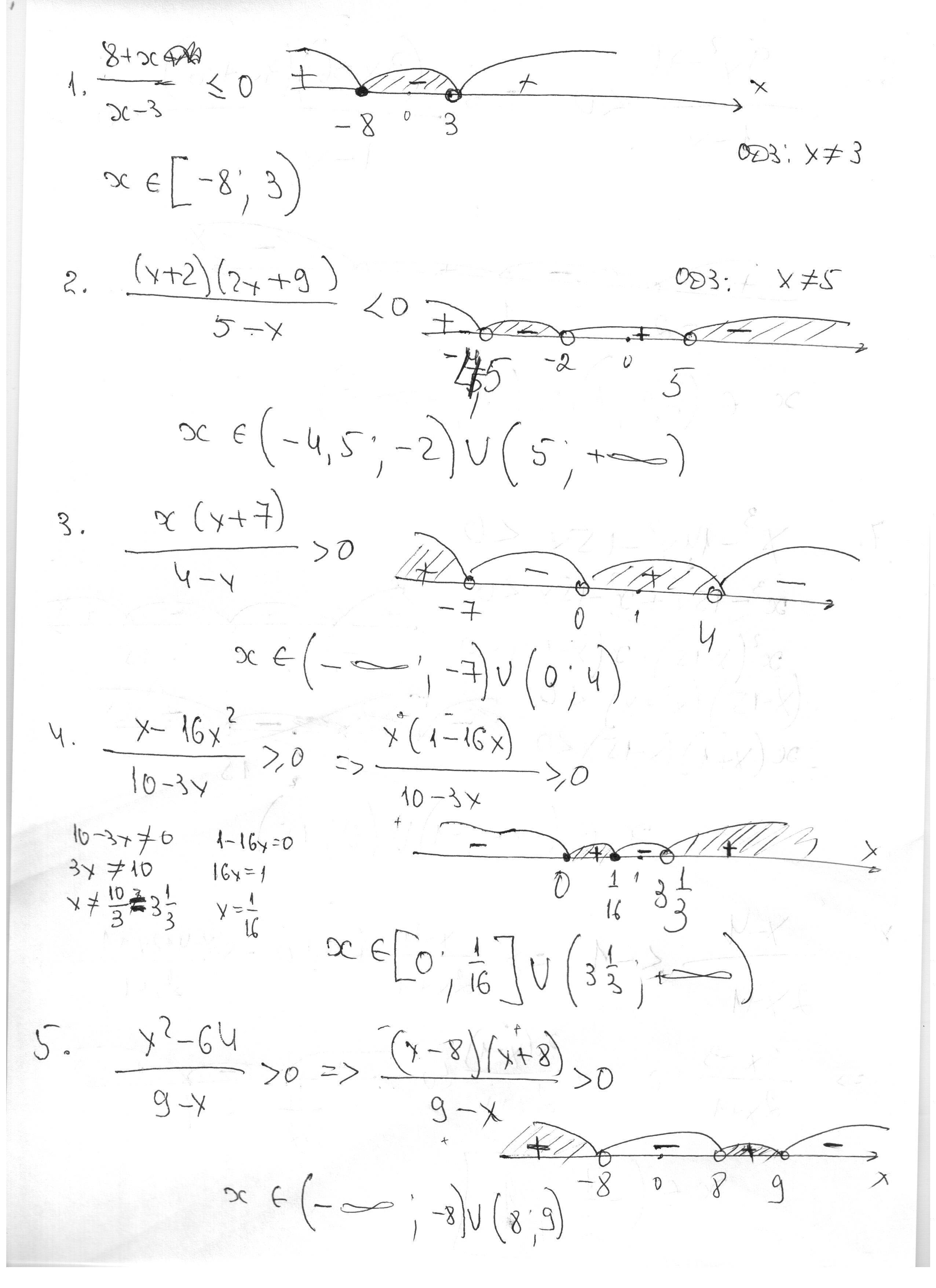
Решаем методом интервалов. Приложены файлы
Приложения:
Вас заинтересует