• Предмет: Алгебра
  • Автор: Animeshnikq
  • Вопрос задан 9 лет назад

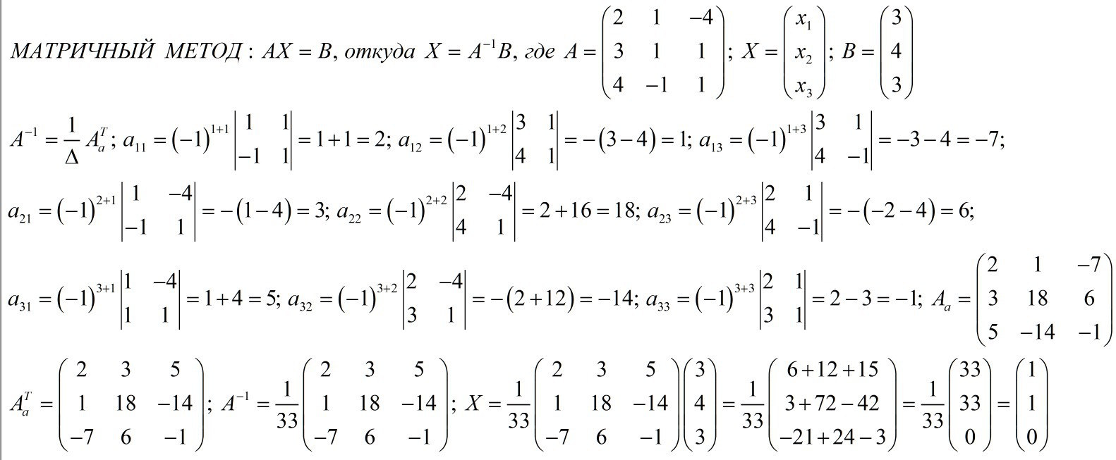
Помогите решить, пожалуйста ! Нужно решить систему одним из предложенных в задании способов ( лучше всеми тремя ) . Очень нужно 99 баллов поставил

Приложения:

Ответы

Ответ дал: Аноним
0
решение смотри во вложении
Приложения:
Вас заинтересует