Ответы
Ответ дал:
0
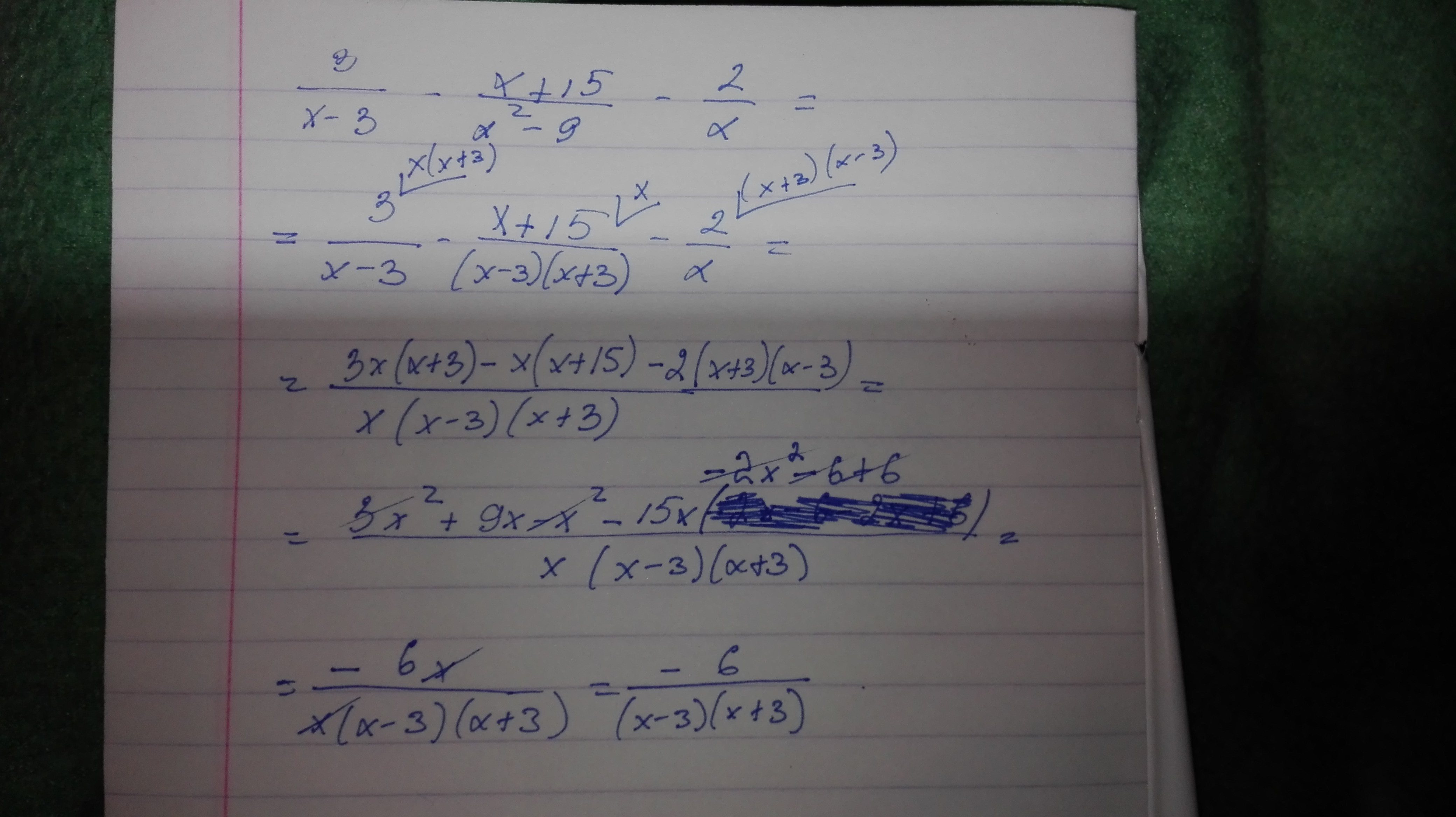
Вот. Решение всё по действиям .
Приложения:

Вас заинтересует
7 лет назад
9 лет назад
9 лет назад
10 лет назад