Ответы
Ответ дал:
0
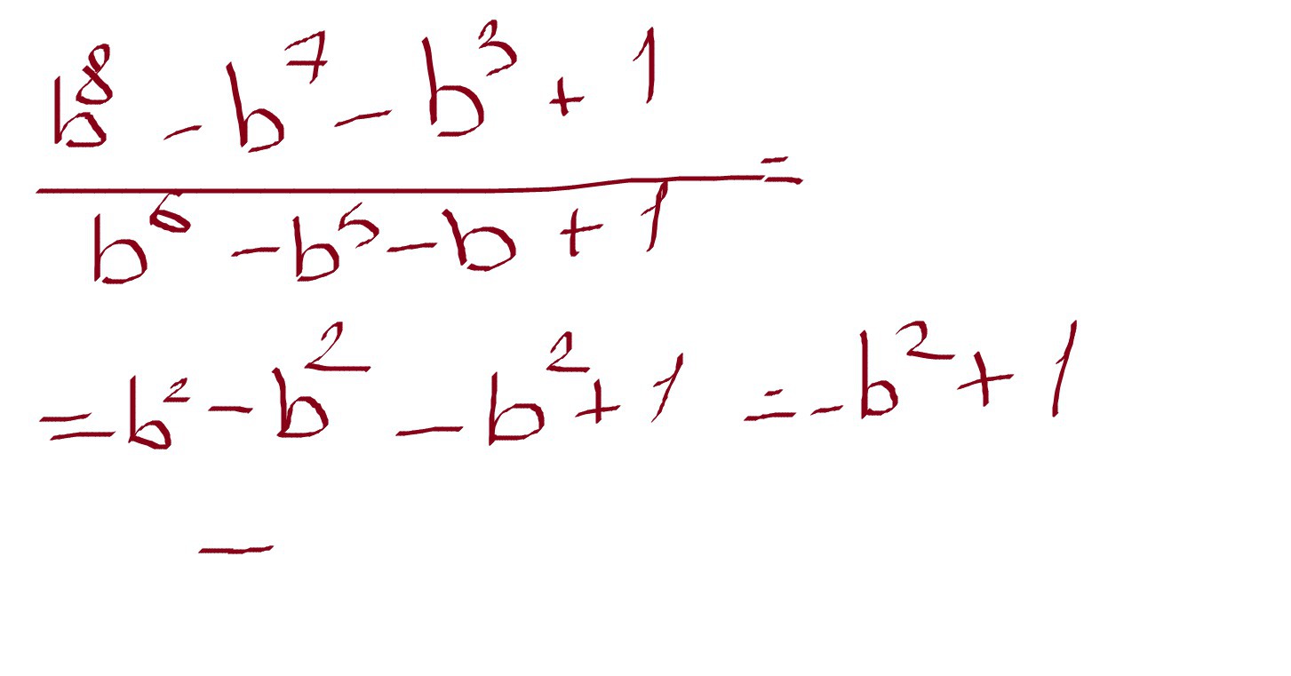
смотри во вложенных фотках
вроде как правильно
вроде как правильно
Приложения:

Вас заинтересует
7 лет назад
7 лет назад
9 лет назад
9 лет назад
10 лет назад