Формулы приведения ПОМОГИТЕ РЕШИТЬ!!!!
Упростить:
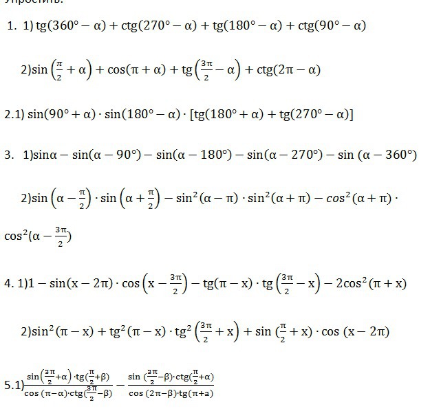
1.
1) tg(360°-α)+ctg(270°-α)+tg(180°-α)+ctg(90°-α)
2)sin(π/2+α)+cos(π+α)+tg(3π/2-α)+ctg(2π-α)
2.
1) sin(90°+α)∙sin(180°-α)∙[tg(180°+α)+tg(270°-α)]
5.
1)(sin(3π/2+α) ∙tg(π/2+β))/(cos(π-α)∙ctg(3π/2-β))-(sin(3π/2-β)∙ctg(π/2+α))/(cos(2π-β)∙tg(π+a))
2)(cos(π+α)∙ctg(π-α))/(sin(3π/2+α)∙tg(π/2-α))-(cos(π-α)∙tg(2π-α))/(sin(π/2+α)∙ctg(3π/2-α))
Приложения:

Ответа на этот вопрос пока нет. Попробуйте найти его через форму поиска.
Вас заинтересует
2 года назад
2 года назад
7 лет назад
7 лет назад
9 лет назад
9 лет назад
10 лет назад
10 лет назад