Ответы
Ответ дал:
0
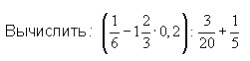
1)1 2/3*1/5=5/3*1/5=1/3
2)1/6-1/3=1/6-2/6=-1/6
3)-1/6:3/20=-1/6(20/3=-10/9
4)-10/9+1/5=-50/45+9/45=-41/45
2)1/6-1/3=1/6-2/6=-1/6
3)-1/6:3/20=-1/6(20/3=-10/9
4)-10/9+1/5=-50/45+9/45=-41/45
Ответ дал:
0
http://znanija.com/task/19924863
Ответ дал:
0
помогите пожалуйста
Ответ дал:
0
5/3 * 2/10 = 1/3
1/6 - 1/3 = 1/6 - 2/6 = -1/6
-1/6 : 3/20 = -1/6 * 20/3 = -20/18 = -10/9
-10/9 + 1/5 = -50/45 + 9/45 = -41/45
вроде бы так :)
1/6 - 1/3 = 1/6 - 2/6 = -1/6
-1/6 : 3/20 = -1/6 * 20/3 = -20/18 = -10/9
-10/9 + 1/5 = -50/45 + 9/45 = -41/45
вроде бы так :)
Вас заинтересует
2 года назад
2 года назад
7 лет назад
10 лет назад
10 лет назад
10 лет назад