• Предмет: Алгебра
  • Автор: vladakukoyashnaya
  • Вопрос задан 10 лет назад

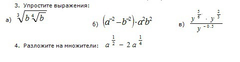
1) Упростить выражение
2) Разложить на множители

Приложения:

Ответа на этот вопрос пока нет. Попробуйте найти его через форму поиска.

Вас заинтересует