• Предмет: Математика
  • Автор: defare12
  • Вопрос задан 9 лет назад

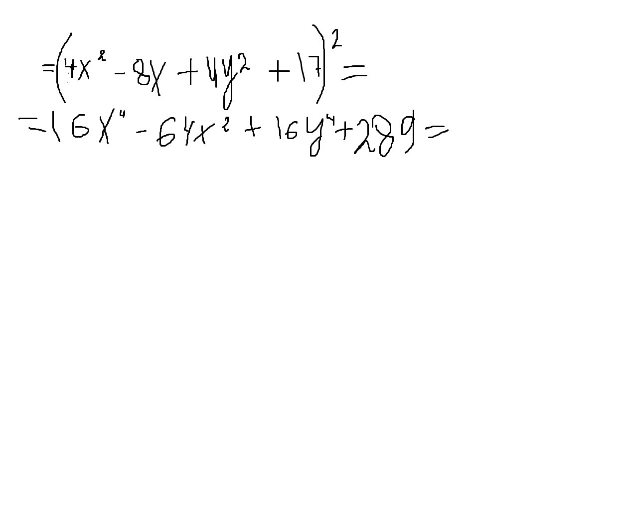
Нужно возвести данное выражение в квадрат
(2x^2-8x+2y^2+4y+17)^2

Ответы

Ответ дал: KeilorN
0
Возвёл . Если нужно дальше что-то сделать скажи 
Приложения:
Ответ дал: Go0Se
0
=16x^4-64x^2+4y^2+16y^4+289= 16x^4-8x^4+20y^4+289= 8x^4+20y^4+289... Вроде бы так...
Приложения:
Вас заинтересует