• Предмет: Алгебра
  • Автор: Олеся240401
  • Вопрос задан 9 лет назад

помогите пожалуйста решить
1
2
3
4
пожалуйста, очень срочно

Приложения:

Ответы

Ответ дал: darpla
0
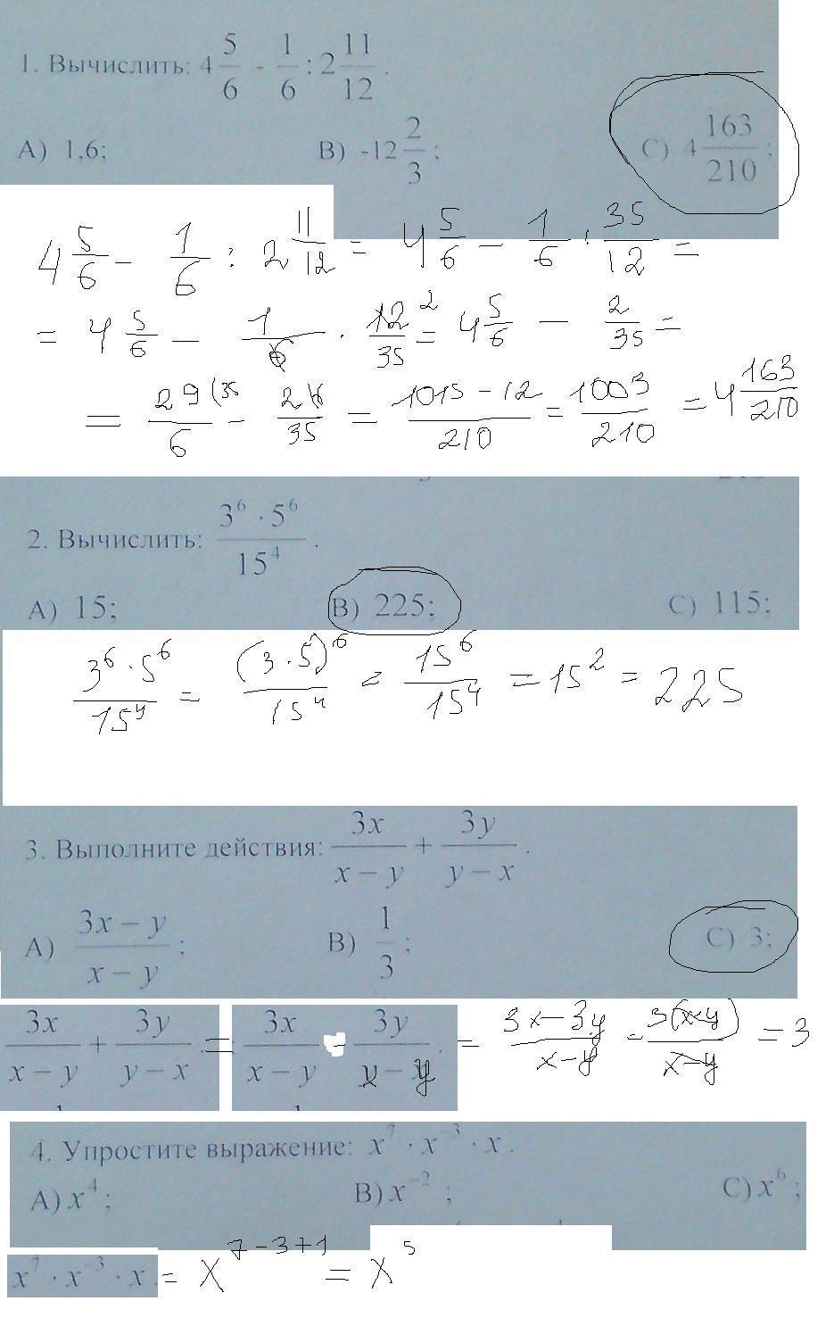
1-C
2-В
3-С
Решение в приложенном файле
4-е задание  то ли плохо видно, ответ не получается
Приложения:
Ответ дал: Олеся240401
0
можешь решение написать?
Ответ дал: darpla
0
В ПРИЛОЖЕННОМ ФАЙЛЕ ПОЛНЫЕ РЕШЕНИЯ
Вас заинтересует