• Предмет: Алгебра
  • Автор: nastya270197
  • Вопрос задан 3 года назад

Ребятки, помогите решить уравнение. Вроде легкое, но что-то не доходит
Номер 2

Приложения:

Ответы

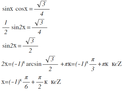
Ответ дал: kenzhe
0

2) sinxcosx=sqrt{3}/4

    1/2sin2x=sqrt{3}/4

     sin2x=sqrt{3}/2

     2x=(-1)^n*p/6+pn

     x=(-1)^n*p/12+p/2*n

Ответ дал: Аноним
0

ркшение смотри во вложении

Приложения:
Вас заинтересует