• Предмет: Алгебра
  • Автор: алёнка271
  • Вопрос задан 3 года назад

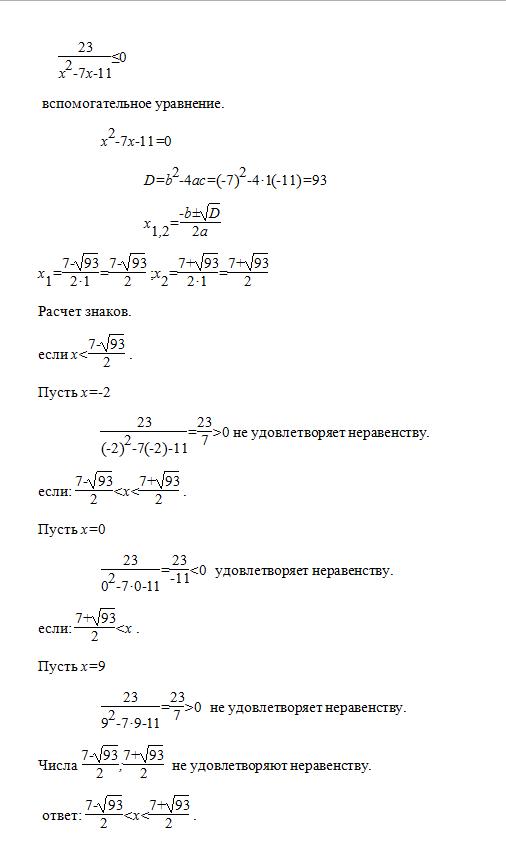
             23

_________________ (МЕНЬШЕ ИЛИ РАВНО) 0

   х(в квадрате)-7х-11

Ответы

Ответ дал: triolana
1

==========================================================

Приложения:
Вас заинтересует