Ответы
                                            Ответ дал: 
                                                                                    
                                        
                                            
                                                
                                                
                                                
                                                    0
                                                
                                            
                                        
                                    
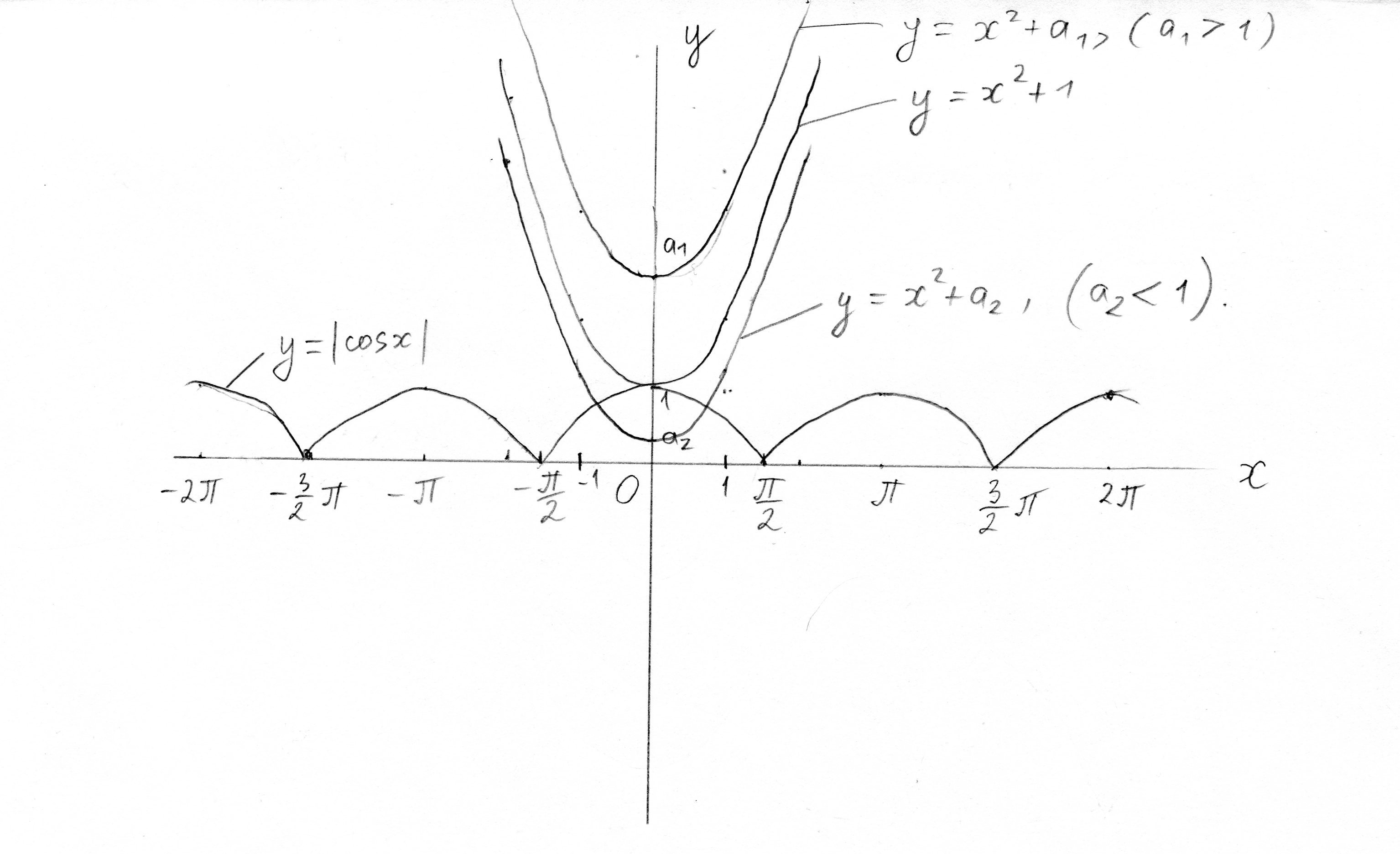
                                        f(x) = |cos x|,
g(a,x) = x^2 + a,
g(a,x) - это семейство парабол (в зависимости от параметра а).
и уравнение сводится к следующему
f(x) = g(a,x),
f(x)<=1, для любого икс.
При a>1, g(a,x) = x^2 + a>1, и в этом случае (a>1) решений нет.
При a = 1, g(a,x) = g(1,x) = x^2 + 1 >=1, для всех икс.
|cos x| = 1, и x^2+1 = 1, <=> x=0, (т.к. |cos 0| = 1).
Таким образом, a=1, это часть ответа.
При а<1, будет два корня, это видно по графику (см. приложение).
Ответ. a=1, x=0.
                                    
                                                g(a,x) = x^2 + a,
g(a,x) - это семейство парабол (в зависимости от параметра а).
и уравнение сводится к следующему
f(x) = g(a,x),
f(x)<=1, для любого икс.
При a>1, g(a,x) = x^2 + a>1, и в этом случае (a>1) решений нет.
При a = 1, g(a,x) = g(1,x) = x^2 + 1 >=1, для всех икс.
|cos x| = 1, и x^2+1 = 1, <=> x=0, (т.к. |cos 0| = 1).
Таким образом, a=1, это часть ответа.
При а<1, будет два корня, это видно по графику (см. приложение).
Ответ. a=1, x=0.
Приложения:
                    
                            Вас заинтересует
                
                        2 года назад
                    
                
                        7 лет назад
                    
                
                        7 лет назад
                    
                
                        9 лет назад
                    
                
                        10 лет назад
                    
                
                        10 лет назад