• Предмет: Алгебра
  • Автор: SoFiYa123NeTeSa
  • Вопрос задан 9 лет назад

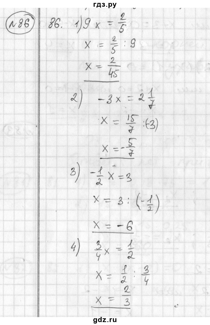
алгебра 7 класс старая номер 84,86

Ответы

Ответ дал: kalbiniso
0
ты про это 
надеюсь э
то тот 
Приложения:
Вас заинтересует