• Предмет: Математика
  • Автор: Аноним
  • Вопрос задан 9 лет назад

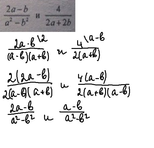
Помогите вычислить
Номер 2

Приложения:

Ответы

Ответ дал: wejde
0
...........................
Приложения:
Вас заинтересует