• Предмет: Алгебра
  • Автор: la22
  • Вопрос задан 3 года назад

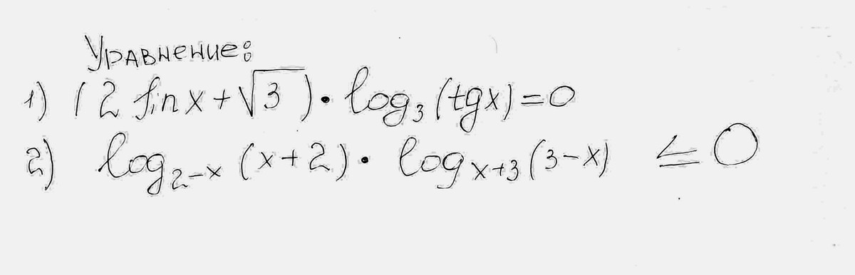
ПОМОГИИИТЕ!! пожалуйста. задание в вложениях.

Приложения:

Ответы

Ответ дал: kenzhe
0

1) (2sinx+sqrt{3})*log_3(tgx)=0

2sinx+sqrt{3}=0

2sinx=-sqrt{3}

sinx=-sqrt{3}/2

x=(-1)^n+1*5p/6+pn

 

log_3(tgx)=0

log_3(tgx)=log_3*1

tgx=1

x=p/4+pn

 

х={(-1)^n+1*5p/6+pn; p/4+pn}

 

извините, но 2 незнаю

################################

Вас заинтересует