помогите срочно!!!!
1)у двух скорпионов 45 детенышей 1 на 15 детенышей больше чем у другого сколько детенышей у каждого Скорпиона
2) начертить прямоугольник со сторонами 3 сантиметра и 4 сантиметров и 3 отрезком на два треугольника найти периметр одного из треугольников
3) Представь в виде суммы разрядных слагаемы: 32707005
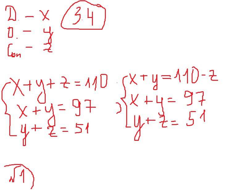
4) отцу деду и сыну вместе 110 лет. отцу и деду вместе 97 лет. отцу и сыну вместе 51 год. сколько лет Деду? Сколько лет отцу?и сколько лет сыну? на сколько лет дед старше отца?на сколько лет Отец старше сына?
Ответы
Ответ дал:
0
3)32707005=30000000+2000000+700000+7000+5
Задание№1 картинка первая, задание два - картинка вторая, задание четыре - картинки 3,4
Задание№1 картинка первая, задание два - картинка вторая, задание четыре - картинки 3,4
Приложения:




Вас заинтересует
2 года назад
2 года назад
7 лет назад
9 лет назад
9 лет назад
10 лет назад
10 лет назад