• Предмет: Алгебра
  • Автор: aslandascha20
  • Вопрос задан 9 лет назад

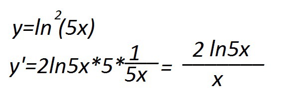
производная от y=ln^2(5x)

Ответы

Ответ дал: karicha2000
0
прикрепила картинкой)
Приложения:
Вас заинтересует