• Предмет: Алгебра
  • Автор: tosha98
  • Вопрос задан 3 года назад

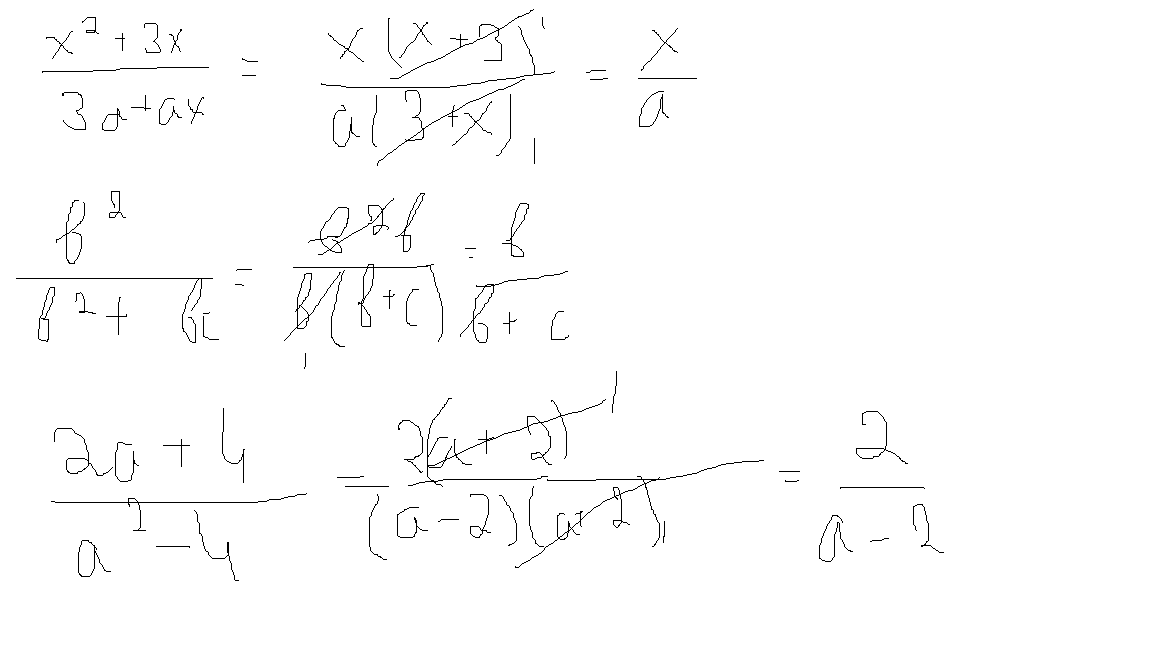
Сократите дроби:(x^2+3x)/(3a+ax);(b^2)/(b^2+bc);(2a+4)/(a^2-4);(x^2-y^2)/(x^2-xy)

Ответы

Ответ дал: BriannaV
35

Надеюсь разберёте, что написано.

 

Приложения:
Вас заинтересует