Помогите, очень срочно.
Задание на фото.
Ответы я и так знаю мне нужно РЕШЕНИЕ, помогите пожалуйста.
Приложения:

Ответы
Ответ дал:
0
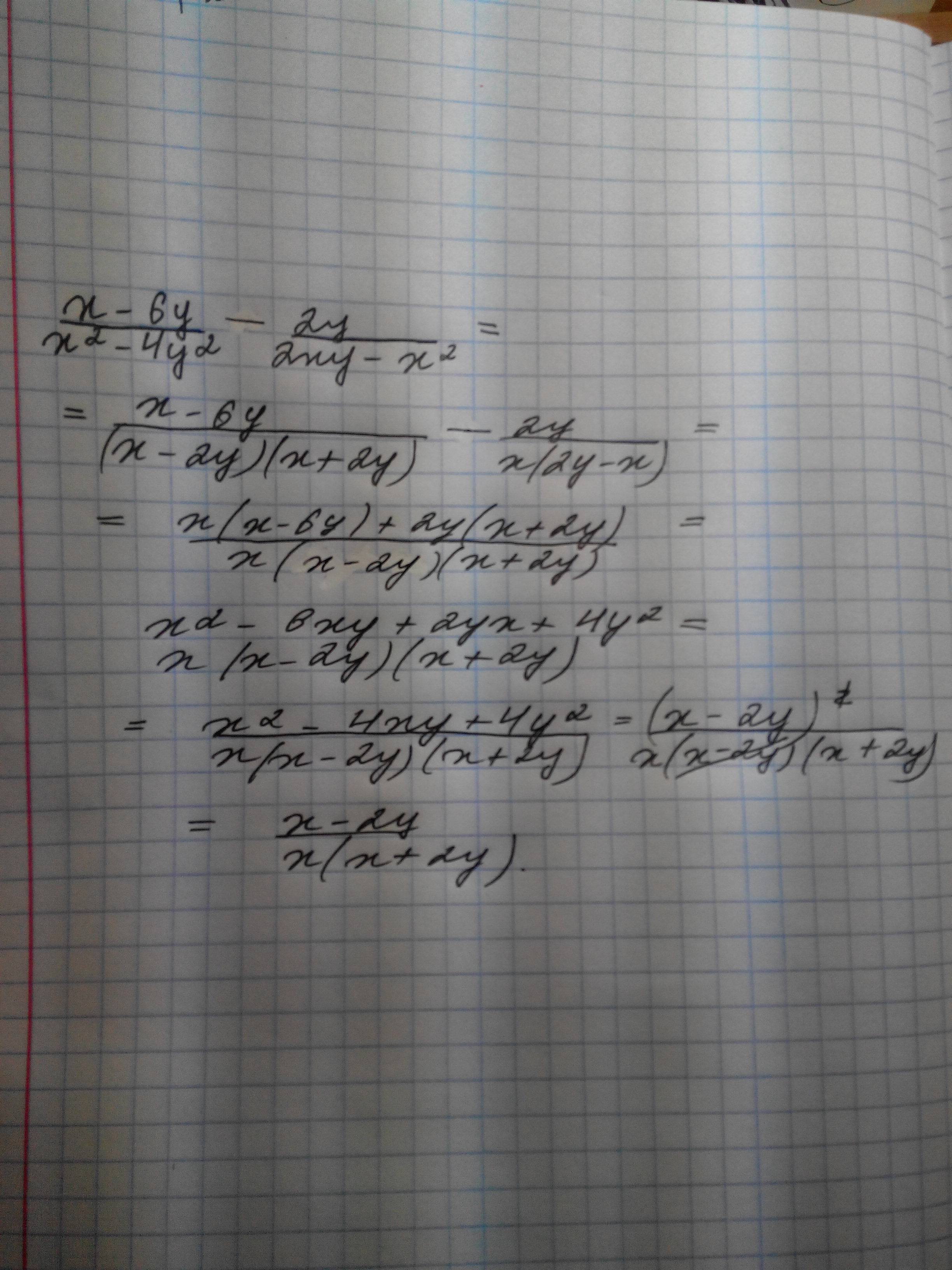
вот
↓↓↓↓↓↓↓↓↓↓↓↓↓↓↓↓↓↓↓↓
↓↓↓↓↓↓↓↓↓↓↓↓↓↓↓↓↓↓↓↓
Приложения:

Ответ дал:
0
Спасибо, а номер 2 знаешь как решать???
Ответ дал:
0
......................
Приложения:

Ответ дал:
0
а это какой класс?
Ответ дал:
0
8-ой
Ответ дал:
0
сори, не могу
Ответ дал:
0
поч?
Ответ дал:
0
не рационально, слишком длинно выходит
Вас заинтересует
2 года назад
2 года назад
7 лет назад
9 лет назад
10 лет назад
10 лет назад