Ответы
Ответ дал:
0
1)
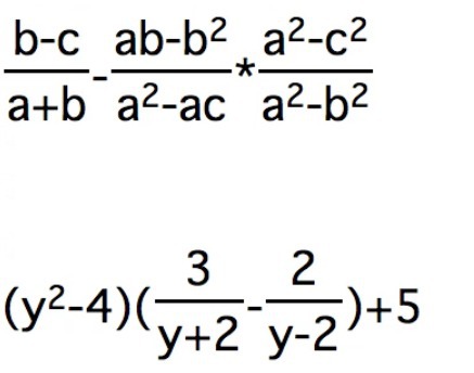
1) ab-b²/a²-ac *a²-c²/a²-b² = b(a-b)*(a-c)(a+c) / a(a-c)*(a-b)(a+b)=
=b(a+c)/a(a+b)
2)b-c/a+b -b(a+c)/a(a+b)=a(b-c)-b(a+c)/a(a+b)=ab-ac-ab-bc /a(a+b)=
=-ac-bc/a(a+b)=-c(a+b)/a(a+b)=-c/a
2)
1)3/y+2 -2/y-2=3(y-2)-2(y+2) /(y+2)(y-2)=3y-6-2y-4 /(y+2)(y-2)=y-10/y²-4
2)(y²-4)*y-10/y²-4=y-10
3)y-10+5=y-5
1) ab-b²/a²-ac *a²-c²/a²-b² = b(a-b)*(a-c)(a+c) / a(a-c)*(a-b)(a+b)=
=b(a+c)/a(a+b)
2)b-c/a+b -b(a+c)/a(a+b)=a(b-c)-b(a+c)/a(a+b)=ab-ac-ab-bc /a(a+b)=
=-ac-bc/a(a+b)=-c(a+b)/a(a+b)=-c/a
2)
1)3/y+2 -2/y-2=3(y-2)-2(y+2) /(y+2)(y-2)=3y-6-2y-4 /(y+2)(y-2)=y-10/y²-4
2)(y²-4)*y-10/y²-4=y-10
3)y-10+5=y-5
Ответ дал:
0
спасибо большое
Вас заинтересует
2 года назад
7 лет назад
10 лет назад
10 лет назад
10 лет назад