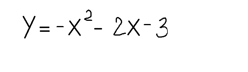
сколько точек пересечения у параболы и ос абсцисс
Напишите подробно и понятно, пожалуйста
Приложения:
Ответа на этот вопрос пока нет. Попробуйте найти его через форму поиска.
Вас заинтересует
2 года назад
7 лет назад
7 лет назад
10 лет назад
10 лет назад
10 лет назад