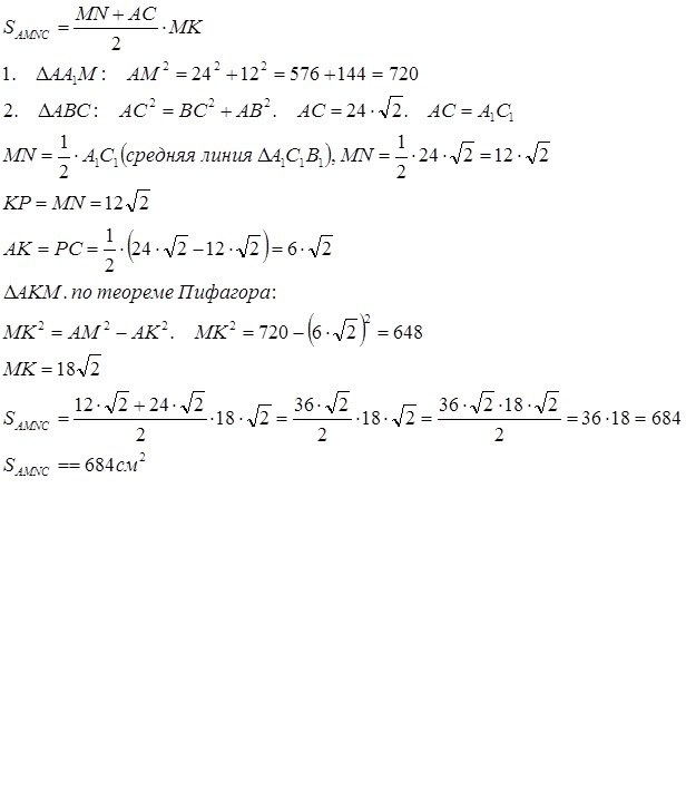
Проведите сечение куба ABCDA1 B1 C1 D1, плоскостью, параллельной прямой A1 C1 И ПРОХОДЯЩЕЙ через точку A и середину ребра A1 B1.
Какой фигурой является это сечение ?
Вычислите площадь сечения ,если ребро куба равно 24 см?
Приложения:

Ответы
Ответ дал:
0
решение во вложении--------------------
Приложения:


Вас заинтересует
2 года назад
7 лет назад
9 лет назад
10 лет назад