• Предмет: Алгебра
  • Автор: atom3344
  • Вопрос задан 9 лет назад

Помогите пожалуйста(((

Приложения:

Ответы

Ответ дал: Netricsa
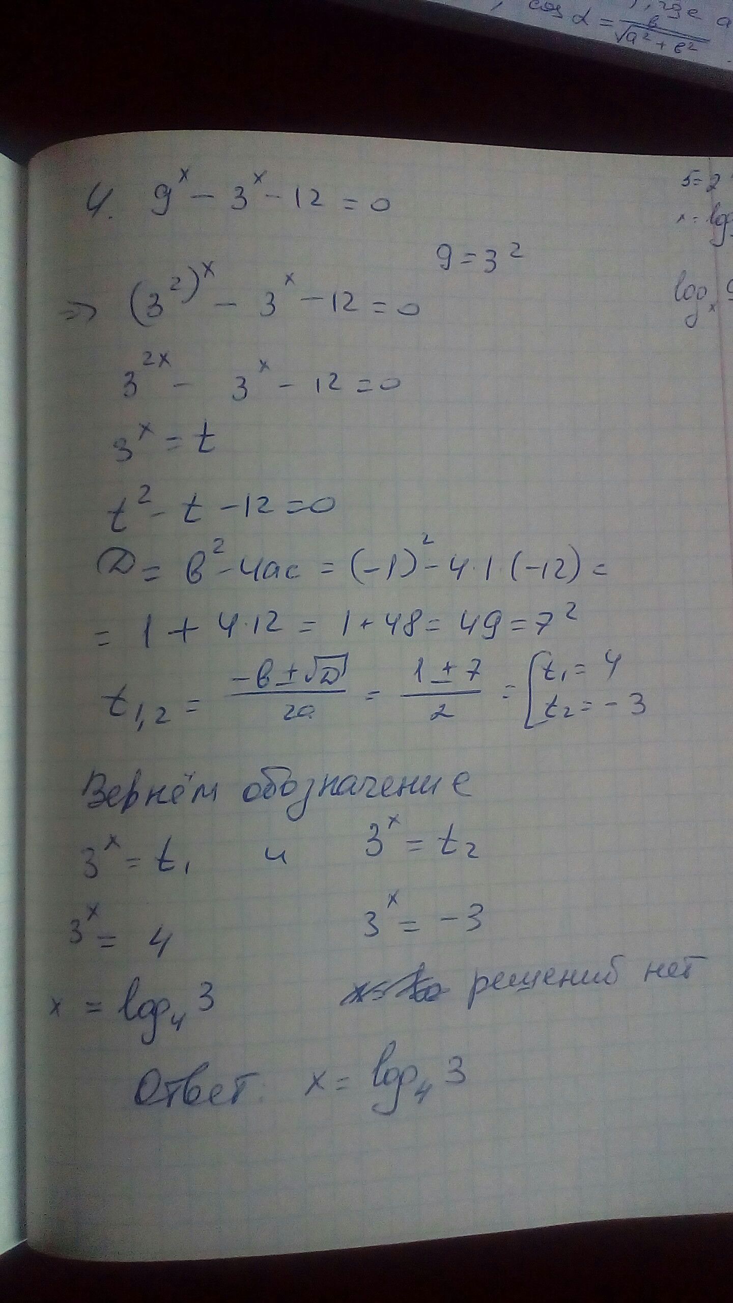
0
Рассчитываю на отметку "лучшее решение")
Приложения:
Вас заинтересует