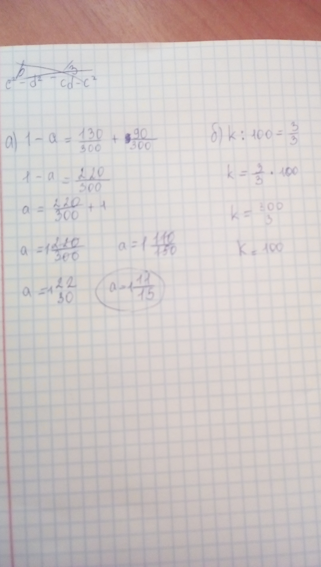
Решить уравнения:
а)1-a=130/300+90/300
б)k:100=3/3
Помогите пожалуйста, я пока не поняла ещё как решаются такие уравнения.
Ответы
Ответ дал:
0
А) a = 0,3
Б) k = 1
Вроде так
Б) k = 1
Вроде так
Ответ дал:
0
Вот,это полное решение.
Приложения:

Вас заинтересует
2 года назад
2 года назад
7 лет назад
7 лет назад
9 лет назад
10 лет назад