• Предмет: Математика
  • Автор: kseniyafink893
  • Вопрос задан 9 лет назад

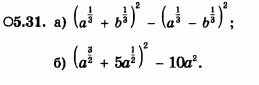
помогите решить, пожалуйста.срочно

Приложения:

Ответы

Ответ дал: KoJloBoK
0
....................
Приложения:
Вас заинтересует