Ответы
Ответ дал:
3
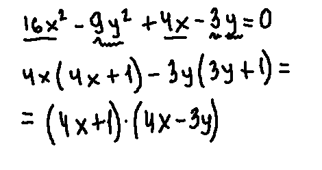
Раскладываем методом группировки.
Приложения:

Вас заинтересует
2 года назад
2 года назад
2 года назад
7 лет назад