Прошу вас, ПОМОГИТЕ ПОЖАЛУЙСТА!!! Очень срочно!!! Завтра кр, отдаю последние баллы!!!
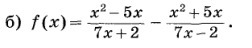
Докажите, что функция f(x) чётная, если: (рисунок прикреплён)
Приложения:

Ответа на этот вопрос пока нет. Попробуйте найти его через форму поиска.
Вас заинтересует
2 года назад
2 года назад
7 лет назад
7 лет назад
10 лет назад