Ответы
Ответ дал:
0
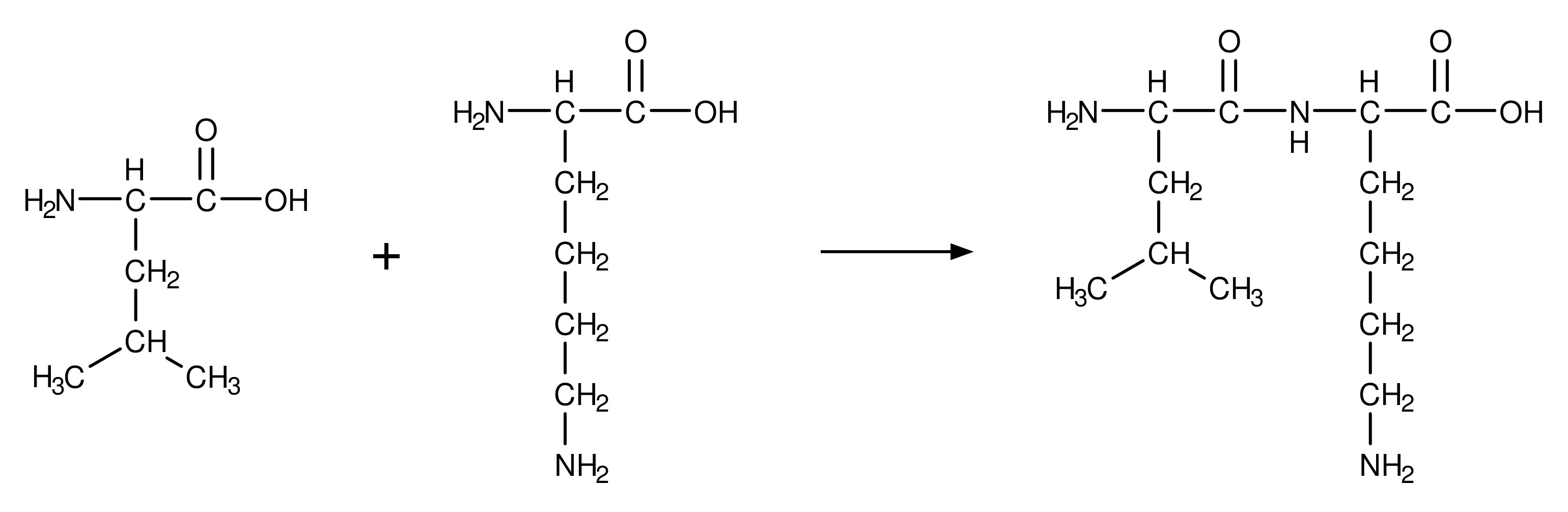
1) лейцин + лизин = лейциллизин (рис 1)
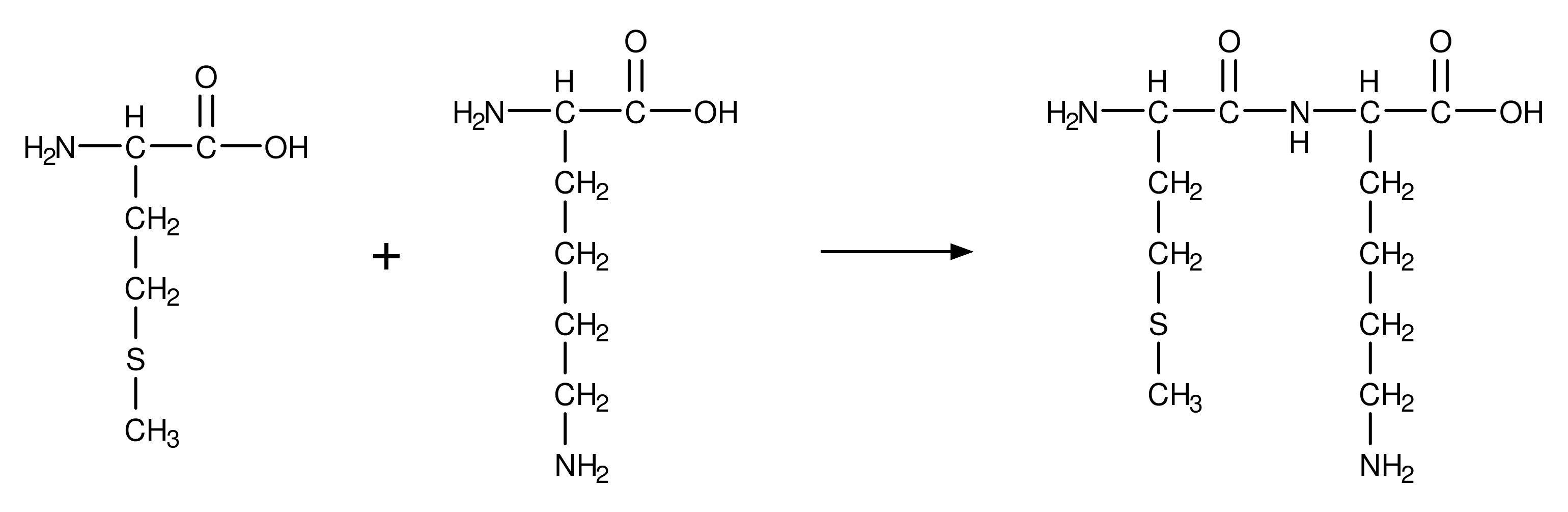
2) метионин + лизин = метиониллизин (рис 2)
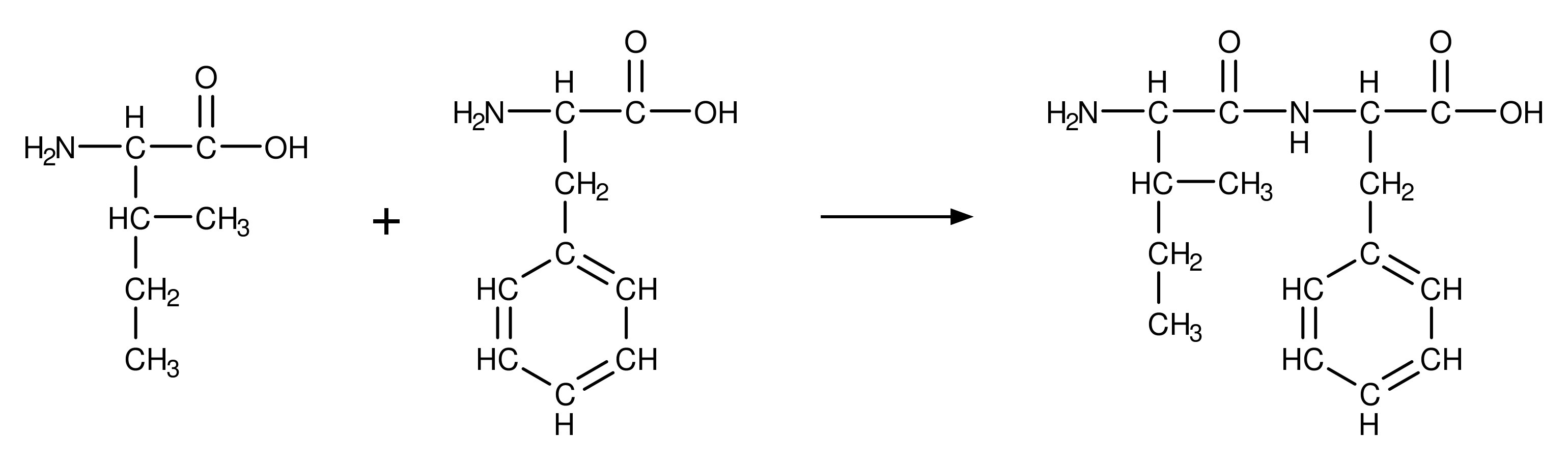
3) изолейцин + фенилаланин = изолейцилфенилаланин (рис 3)
2) метионин + лизин = метиониллизин (рис 2)
3) изолейцин + фенилаланин = изолейцилфенилаланин (рис 3)
Приложения:



Вас заинтересует
2 года назад
2 года назад
7 лет назад
7 лет назад
9 лет назад
9 лет назад