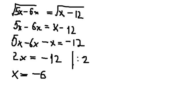
решите уравнение корень квадратный под корнем пять икс минус шесть равно корень из икс минус двенадцать
Ответы
Ответ дал:
1
Если ты правельно написала,то вот так.Если что-то не так в лс. жду)
Приложения:

Вас заинтересует
2 года назад
2 года назад
2 года назад
2 года назад
7 лет назад
7 лет назад
9 лет назад
9 лет назад