Ответы
Ответ дал:
0
б)
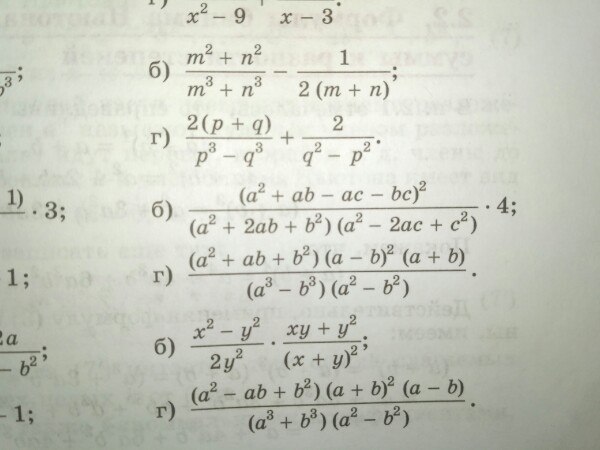
(а(а+b)-c(a+b))^2
_____________ •4=
(a+b)^2(a-c)^2
( (a+b)(a-c))^2
___________ •4 =
(a+b)^2. (a-c)^2
=4
(a^3 +b^3)(a-b)^2
______________. =
(a^3 -b^3)(a^2 -b^2)
(a^3 -b^3)(a-b)^2
_______________ =
(a^3 -b^3)(a-b)(a+b)
a-b
____
a+b
(а(а+b)-c(a+b))^2
_____________ •4=
(a+b)^2(a-c)^2
( (a+b)(a-c))^2
___________ •4 =
(a+b)^2. (a-c)^2
=4
(a^3 +b^3)(a-b)^2
______________. =
(a^3 -b^3)(a^2 -b^2)
(a^3 -b^3)(a-b)^2
_______________ =
(a^3 -b^3)(a-b)(a+b)
a-b
____
a+b
Ответ дал:
0
СПАСИБО ТЕБЕ ОГРОМНОЕ!!!
Вас заинтересует
2 года назад
7 лет назад
10 лет назад
10 лет назад
10 лет назад