Помогите пожалуйста по алгебре 7 класс задача.
Прошу, пожалуйста помогите понять. Я не как не понимаю. Прошу объясните очень ПОДРОБНО. (Таблица ниже уравнение)
Вот сама задача: Лодка шла против течения 4,5 часа а по течению 2,1 часа. Найти скорость лодки в стоячей воде, если она прошла всего 52,2 км, а скорость течения реки равна
3 км/ч.
А вот пример похожей задачи и ее решение на фото.
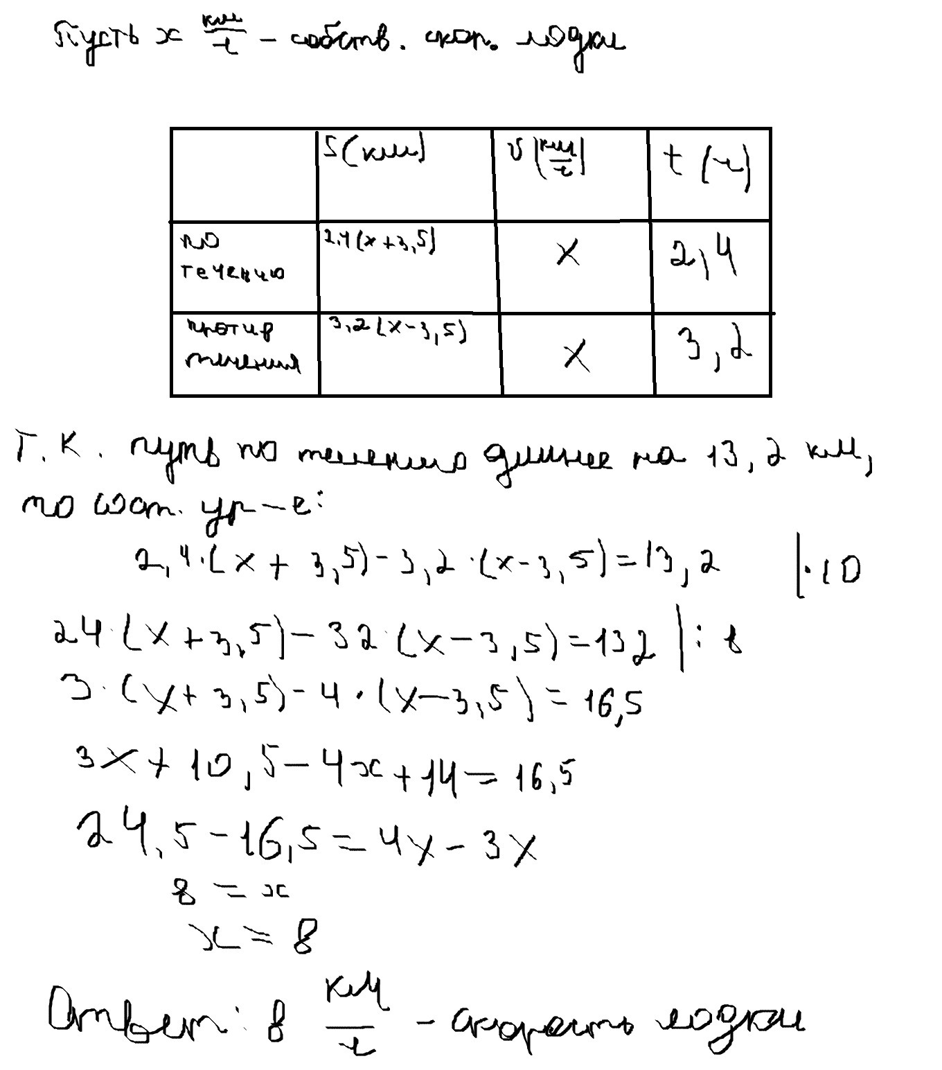
Лодка шла по течению реки 2,4 ч и против течения 3,2 ч. Путь, пройденный по течению, оказался на 13,2 км больше за путь, пройденный против течения. Найти
скорость лодки в стоячей воде, если скорость течения реки равна 3,5 км / час.
Приложения:

Ответы
Ответ дал:
0
S = v * t - формула пути
Пусть х (км/ч) - скорость лодки в стоячей воде, тогда
v = (х + 3) км/ч - скорость лодки по течению реки; t = 2,1 ч
S = (х + 3) * 2,1 = 2,1х + 6,3 (км) - путь лодки по течению реки
v = (х - 3) км/ч - скорость лодки против течения реки; t = 4,5 ч
S = (х - 3) * 4,5 = 4,5х - 13,5 (км) - путь лодки против течения реки
Весь путь лодки 52,2 км.
Уравнение:
2,1х + 6,3 + 4,5х - 13,5 = 52,2
2,1х + 4,5х = 52,2 + 13,5 - 6,3
6,6х = 59,4
х = 59,4 : 6,6
х = 9
Ответ: 9 км/ч - скорость лодки в стоячей воде.
Пусть х (км/ч) - скорость лодки в стоячей воде, тогда
v = (х + 3) км/ч - скорость лодки по течению реки; t = 2,1 ч
S = (х + 3) * 2,1 = 2,1х + 6,3 (км) - путь лодки по течению реки
v = (х - 3) км/ч - скорость лодки против течения реки; t = 4,5 ч
S = (х - 3) * 4,5 = 4,5х - 13,5 (км) - путь лодки против течения реки
Весь путь лодки 52,2 км.
Уравнение:
2,1х + 6,3 + 4,5х - 13,5 = 52,2
2,1х + 4,5х = 52,2 + 13,5 - 6,3
6,6х = 59,4
х = 59,4 : 6,6
х = 9
Ответ: 9 км/ч - скорость лодки в стоячей воде.
Ответ дал:
0
Спасибо)
Ответ дал:
0
////////// //////////// ////////////
Приложения:

Ответ дал:
0
Спасибо)
Вас заинтересует
2 года назад
7 лет назад
7 лет назад
9 лет назад
9 лет назад
10 лет назад