Ответы
Ответ дал:
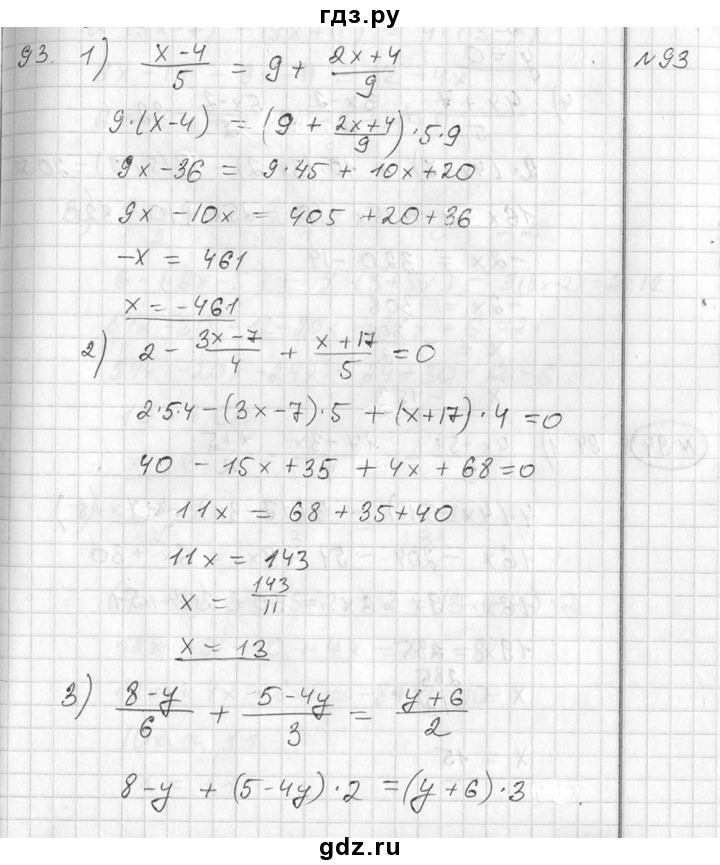
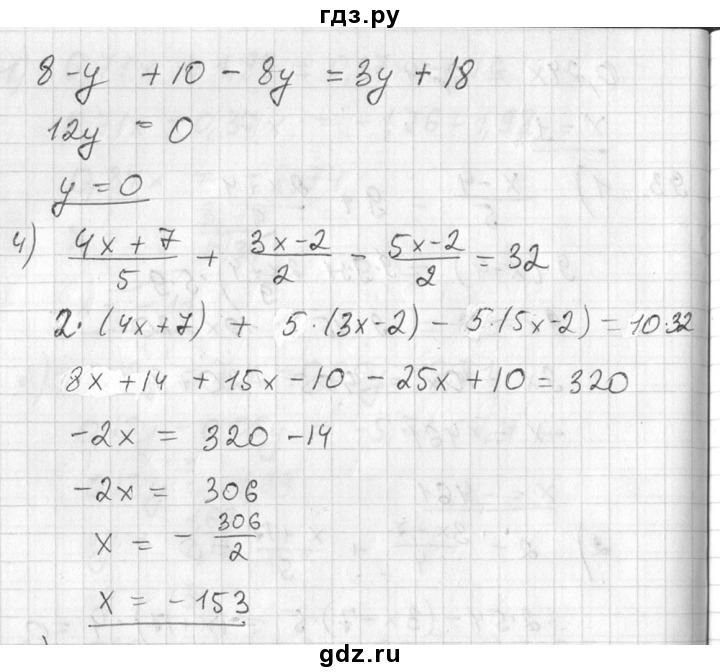
0
надеюсь это тот номер
Приложения:


Вас заинтересует
2 года назад
2 года назад
7 лет назад
7 лет назад
9 лет назад
10 лет назад