Ответы
Ответ дал:
0
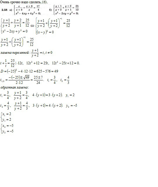
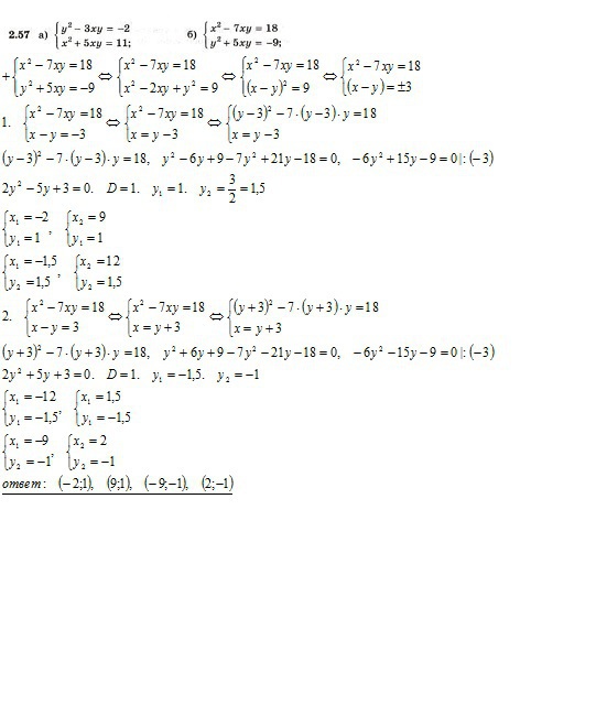
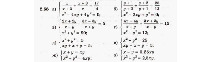
решение во вложении------------------
Приложения:


Вас заинтересует
2 года назад
7 лет назад
9 лет назад
10 лет назад
10 лет назад