• Предмет: Алгебра
  • Автор: albert200079
  • Вопрос задан 10 лет назад

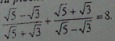
Докажите,что
пожайлуста напишите

Приложения:

Ответы

Ответ дал: танЯ1111112
0
(√5-√3)/(√5+√3)+(√5+√3)/(√5-√3)=((√5-√3)^2+(√5+√3)^2)/(√5+√3)(√5-√3)=(5-2√8+3+5+2√8+3)/(5-3)=16/2=8
Вас заинтересует