• Предмет: Алгебра
  • Автор: valerieks
  • Вопрос задан 9 лет назад

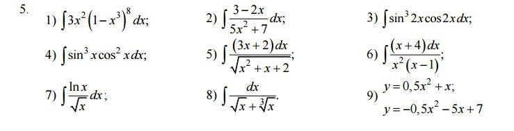
ПОМОГИТЕ ПОЖАЛУЙСТА РЕШИТЬ ХОТЬ КАКИЕ-ТО ЗАДАНИЯ (СРОЧНО)

Приложения:

Ответа на этот вопрос пока нет. Попробуйте найти его через форму поиска.

Вас заинтересует