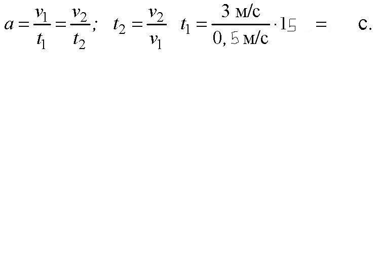
локомотив через 15с после начала движения развил скорость 0,5 м/с. через какое время после начала движения скорость локомотива станет 3м/с
Ответы
Ответ дал:
5
t1 = 15
v1 = 0.5 м/c
v2= 3 м/c
перемнож и готово
Приложения:
Вас заинтересует
2 года назад
2 года назад
2 года назад
8 лет назад
8 лет назад
9 лет назад
9 лет назад