Ответы
Ответ дал:
0
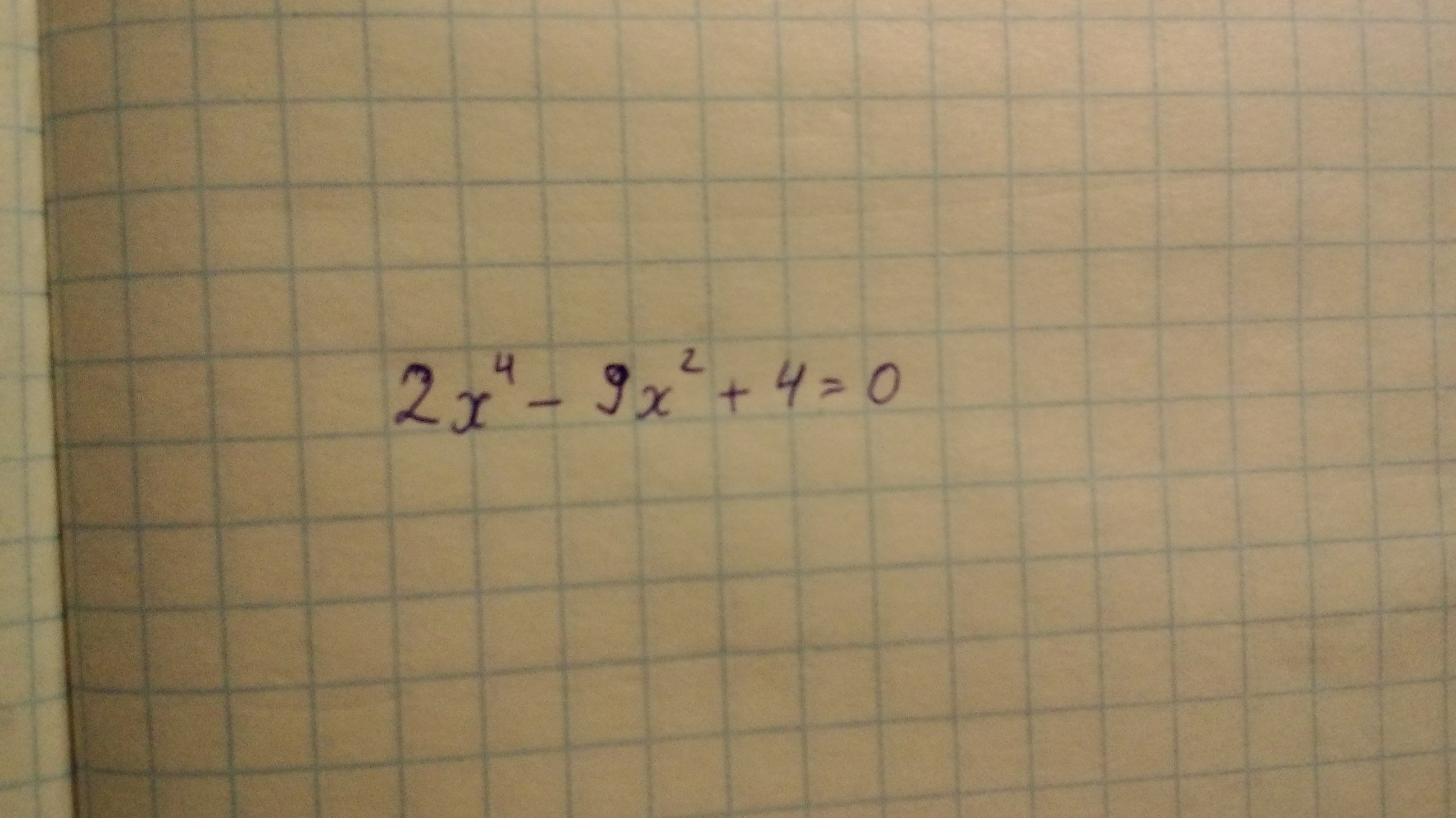
Обозначим x^2=y
Тогда:
2y^2-9y+4=0
D=9^2-4*4*2=81-32=49
y1,2=(9 +/- 7)/4
y1=4; y2=0,5
x1=2; x2=-2; x3=корень из 0,5; x4= - корень из 0,5
Тогда:
2y^2-9y+4=0
D=9^2-4*4*2=81-32=49
y1,2=(9 +/- 7)/4
y1=4; y2=0,5
x1=2; x2=-2; x3=корень из 0,5; x4= - корень из 0,5
Вас заинтересует
2 года назад
2 года назад
7 лет назад
7 лет назад
10 лет назад
10 лет назад
10 лет назад
10 лет назад