Ответы
Ответ дал:
0
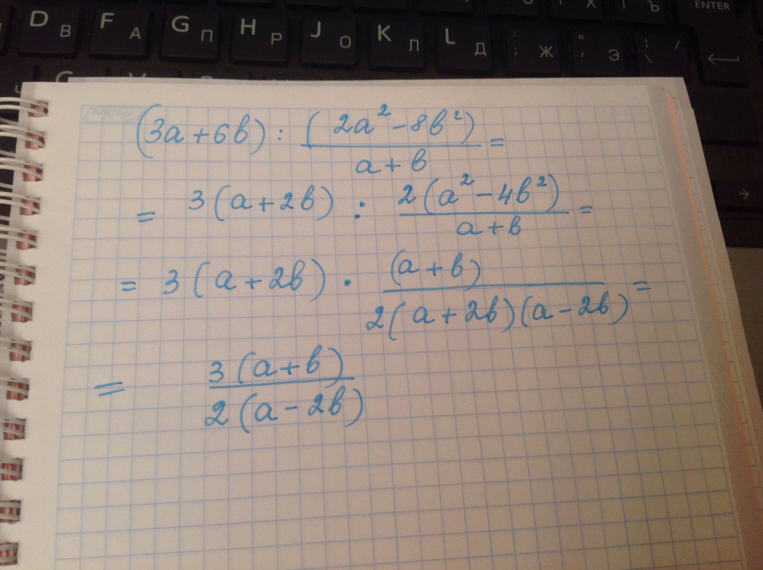
Решение смотри в приложении
Приложения:

Ответ дал:
0
3(a+2b) :2(a²-4b²)/(a+b)=3(a+2b)*(a+b)/[2(a-2b)(a+2b)]=
=3(a+b)/[2(a-2b)]
=3(a+b)/[2(a-2b)]
Приложения:

Вас заинтересует
2 года назад
2 года назад
7 лет назад
7 лет назад
10 лет назад