• Предмет: Алгебра
  • Автор: mashanewt1
  • Вопрос задан 9 лет назад

ВНИМАНИЕ! ЗА ОТВЕТ 30 БАЛЛОВ. ДАМ "ЛУЧШИЙ".

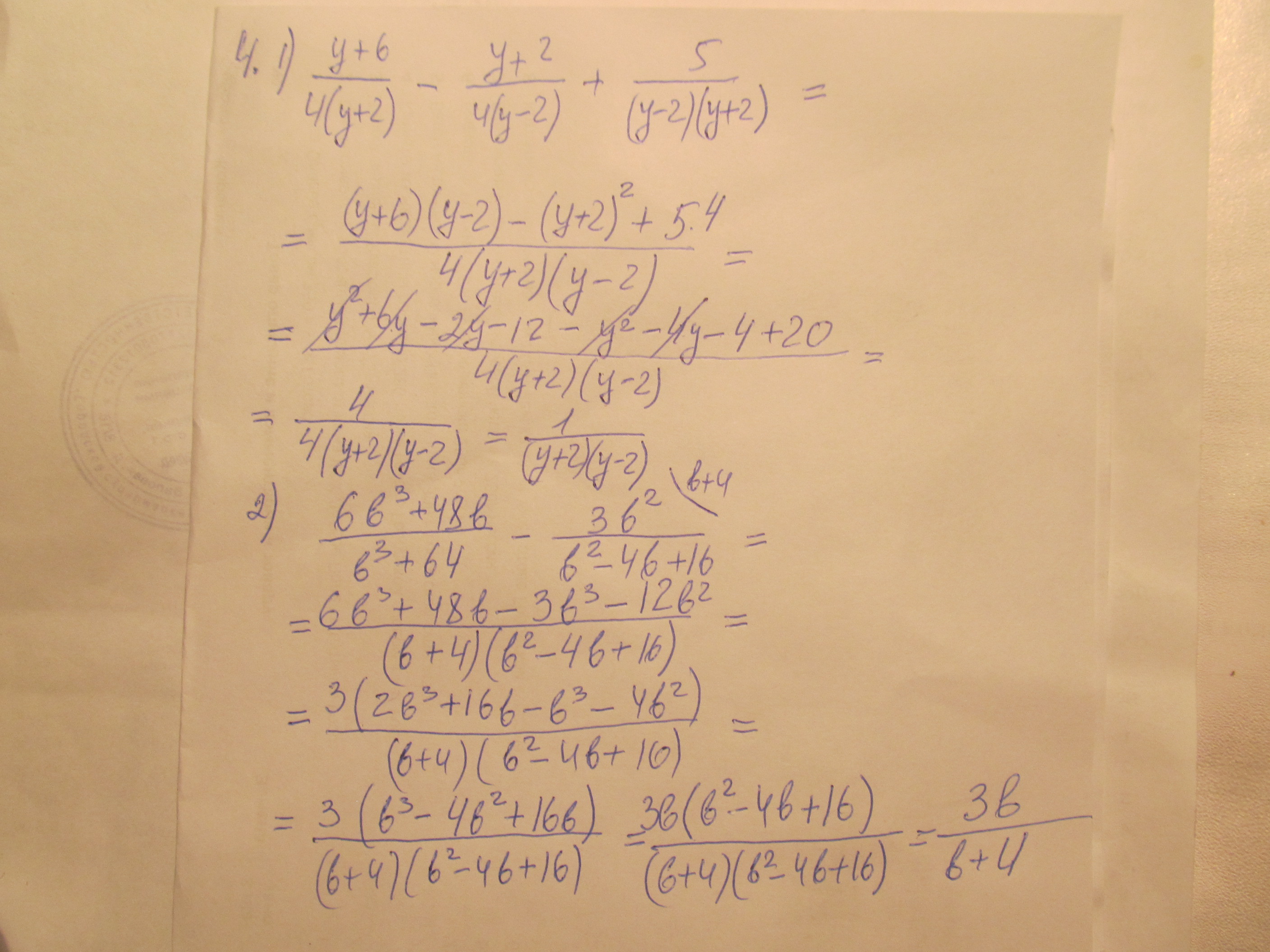
Решите пожалуйста 4 номер.
Добра вам с:

Приложения:

Ответы

Ответ дал: 21fizika
0
решение на фото...........
Приложения:
Ответ дал: mashanewt1
0
Спасибо огромное. с:
Вас заинтересует