• Предмет: Алгебра
  • Автор: killjoymcrmy2001
  • Вопрос задан 9 лет назад

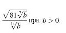
найдите значение выражения

если можно, с решением

Приложения:

Ответа на этот вопрос пока нет. Попробуйте найти его через форму поиска.

Вас заинтересует