• Предмет: Математика
  • Автор: natalie178
  • Вопрос задан 9 лет назад

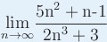
Найти предел (фото внутри)

Приложения:

Ответы

Ответ дал: Аноним
0
Этот предел = 0, т.к. знаменатель быстрее увеличивается.
Вас заинтересует