• Предмет: Алгебра
  • Автор: AngelinaMoore
  • Вопрос задан 9 лет назад

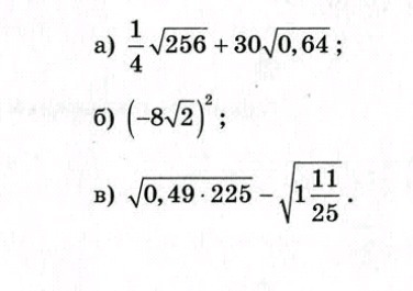
найдите значение выражения
Решите пожалуйста на листочке

Приложения:

Ответа на этот вопрос пока нет. Попробуйте найти его через форму поиска.

Вас заинтересует