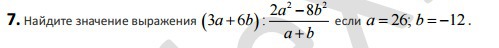
с подробным решением пожалуйста. несколько раз решала и всегда разные ответы. прошу вашей помощи
Приложения:

Ответы
Ответ дал:
0
= (3×26+6×(-12))×26+(-12)/2×26^2-8×(-12)^2= 78+(-72)×14/2×676-1152=6×14/200=(сокращаем на 2: 3 и 200) =3×14/100=42/100=0,42
Как-то так....
Вас заинтересует
2 года назад
2 года назад
7 лет назад
7 лет назад
9 лет назад
10 лет назад