• Предмет: Алгебра
  • Автор: 2002020
  • Вопрос задан 9 лет назад

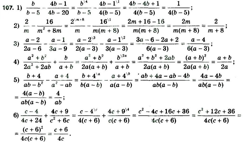
Объясните последовательность, как это делается?

Приложения:

Ответы

Ответ дал: Egor20011111
0
как написано так и делается ровно право
Ответ дал: 2002020
0
Нужно узнать почему оно так делается, последовательность действий
Ответ дал: Виолкаааааа14
0
там подбирается общий знаменатель - все легко и просто
Вас заинтересует