• Предмет: Алгебра
  • Автор: Privetuyoba
  • Вопрос задан 9 лет назад

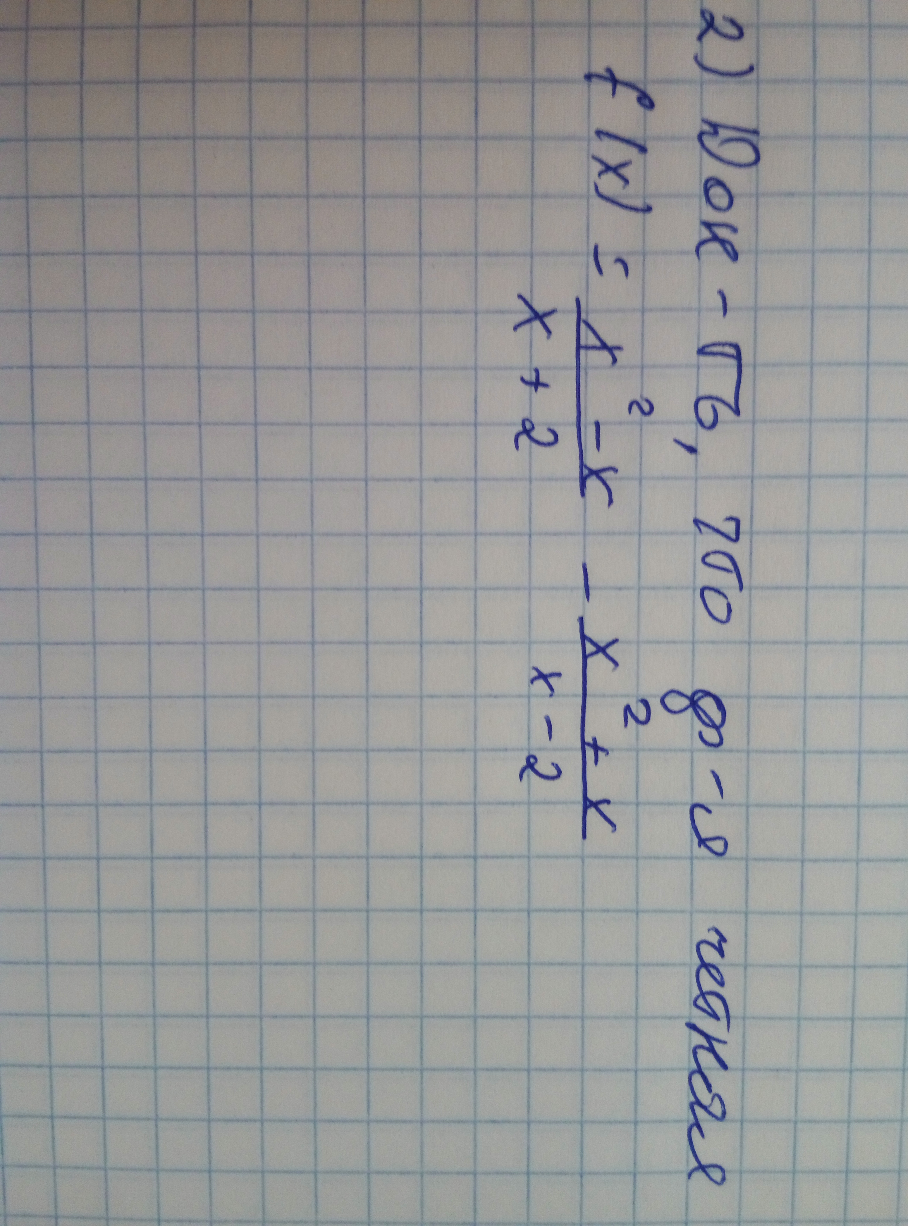
Доказать, что функция четная

Приложения:

Ответы

Ответ дал: Alexandr130398
0
f(x)= frac{x^2-x}{x+2} - frac{x^2+x}{x-2}  \  \ f(-x)= frac{(-x)^2+x}{-x+2} - frac{(-x)^2-x}{-x-2} = -frac{x^2+x}{x-2} + frac{x^2-x}{x+2} = frac{x^2-x}{x+2} - frac{x^2+x}{x-2} =f(x)

Следовательно данная функция является четной - ч.т.д.
Вас заинтересует