• Предмет: Алгебра
  • Автор: ttttttt19985
  • Вопрос задан 9 лет назад

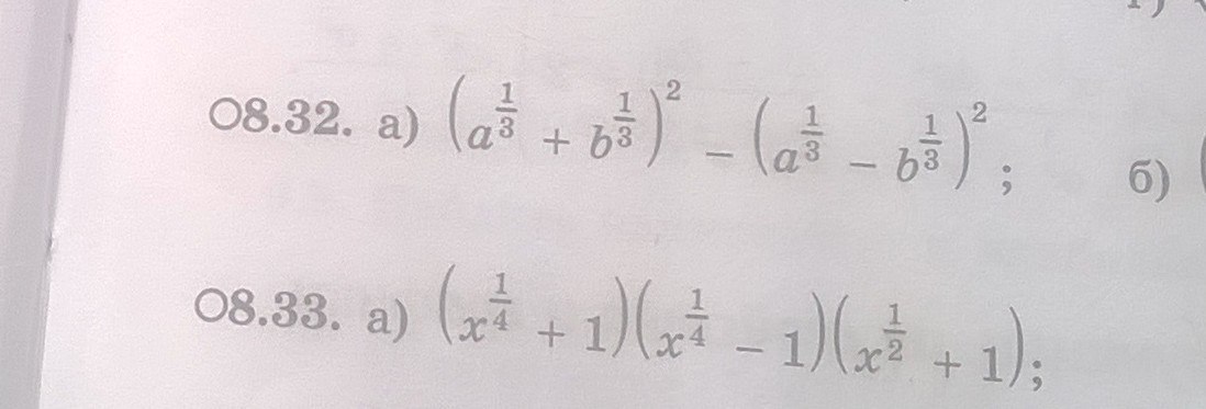
упростите выражение пожалуйста 8.32

Приложения:

Ответы

Ответ дал: ВладимирБ
0
( a^{ frac{1}{3} } + b^{ frac{1}{3} } )^2-( a^{ frac{1}{3} } - b^{ frac{1}{3} } )^2= \ ( a^{ frac{1}{3} } +b^{ frac{1}{3} }+a^{ frac{1}{3} }-b^{ frac{1}{3} })*( a^{ frac{1}{3} } +b^{ frac{1}{3} }-a^{ frac{1}{3} }+b^{ frac{1}{3} })= \ 4 a^{ frac{1}{3} } * b^{ frac{1}{3} }
Вас заинтересует