• Предмет: Алгебра
  • Автор: Аноним
  • Вопрос задан 9 лет назад

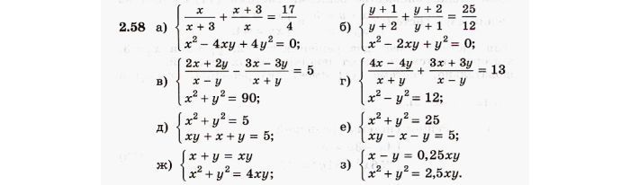
Под буквой б помогите

Приложения:

Ответы

Ответ дал: ВладимирБ
0
 frac{y+1}{y+2} + frac{y+2}{y+1} = frac{25}{12}  \ x^2-2xy+y^2=0 \  \  frac{(y+1)^2+(y+2)^2}{(y+2)(y+1)} = frac{25}{12}  \ (x-y)^2=0 \  \  frac{y^2+2y+1+y^2+4y+4}{y^2+3y+2} = frac{25}{12}  \ x=y \  \ 25(y^2+3y+2)=12(2y^2+6y+5) \ y^2+3y-10=0 \ D=49 \  y_{1} =-5 \    x_{1} =-5 \  y_{2} =2 \  x_{2} =2
Вас заинтересует