Ответы
Ответ дал:
0
оооооооооооооооооооооооооооо.........
Приложения:

Ответ дал:
0
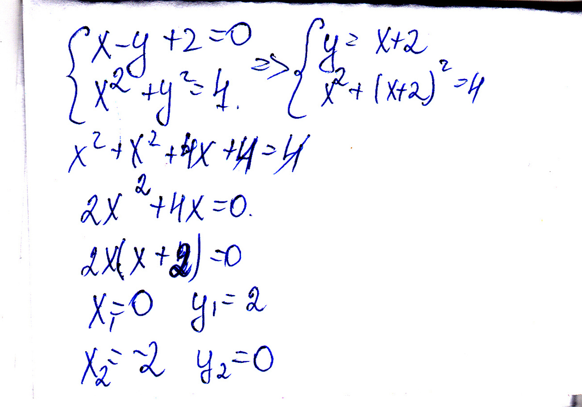
решается системой
х-у+2=0
х^2+у^2=4 эти 2 в систему
х=у-2
(у-2)в квадрате+у в квадрате=4
y^2-4у+4+y^2-4=0
2y^2-4y=0
2y(y-2)=0
y=0 или у=2
подставляешь находишь х
х=-2 или х=0
ответ
(-2;0) (0;2)
Вас заинтересует
2 года назад
2 года назад
7 лет назад
7 лет назад
9 лет назад