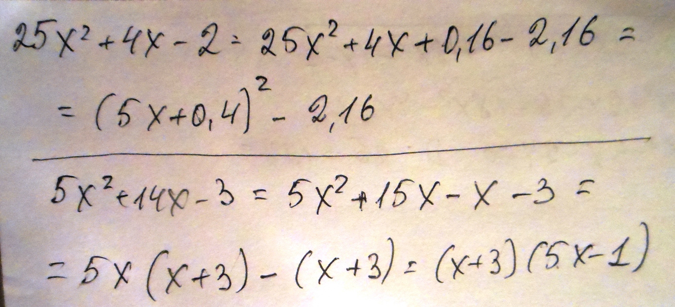
1) выделите полный квадрат из квадратного трехчлена
25x²+4x-2
2) разложите на множители квадратный трехчлен
5x²+14x-3
Ответы
Ответ дал:
0
!!!!!!!!!!!!!!!!!!!!!!!!!!!!!!!
Приложения:

Ответ дал:
0
Благодарю
Ответ дал:
0
пожалуйста!
Вас заинтересует
2 года назад
2 года назад
7 лет назад
9 лет назад
10 лет назад