• Предмет: Математика
  • Автор: Pushinka33
  • Вопрос задан 9 лет назад

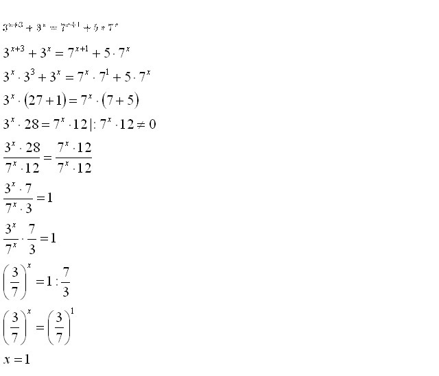
15б! Решите! 3^{x+3} + 3^{x} =  7^{x+1} +5 *  7^{x}

Ответы

Ответ дал: kirichekov
0
решение во вложении--------------------
Приложения:
Ответ дал: Pushinka33
0
Спасибо!
Вас заинтересует